Diffractométrie de rayons X / Radiocristallographie / Diffraction de rayons X
La diffractométrie de rayons X est une technique d'analyse fondée sur la diffraction des rayons X sur la matière. La diffraction n'ayant lieu que sur la matière cristalline, on parle aussi de radiocristallographie.
Page(s) en rapport avec ce sujet :
- ... pour illustrer à la fois sciences physique et quantique est un diffractomètre à rayons X..... Il est utile de mentionner que les méthodes de détection cryogéniques ne permettent pas... Rayons X en cristallographie. L'analyse des cristaux par diffraction de rayons X est aussi nommée radiocristallographie.... (source : techno-science)
- ADAPTATION DE LA METHODE A L'APPAREIL DE. DIFFRACTION DES RAYONS X DE LA FACULTE... des Sciences de Marrakech d'un dîffractomètre de Rayons X, il nous... Ainsi les pics de diffraction seront étroits pour une ili ite dont le réseau est .... Théorie et technique de la radio-cristallographie. Dunod, Paris, 740 p.... (source : israbat.ac)
- Diffraction des rayons X. 37. Les différents anneaux correspondent aux pics obtenus avec le diffractomètre. Ils indiquent une valeur de distance réticulaire... (source : umc.edu)
La diffractométrie de rayons X (DRX, on utilise aussi fréquemment l'abréviation anglaise XRD pour X-ray diffraction) est une technique d'analyse fondée sur la diffraction des rayons X sur la matière. La diffraction n'ayant lieu que sur la matière cristalline, on parle aussi de radiocristallographie. Pour les matériaux non-cristallins, on parle de diffusion. La diffraction fait partie des méthodes de diffusion élastique.
L'appareil de mesure se nomme un diffractomètre. Les données collectées forment le diagramme de diffraction ou diffractogramme.
Présentation générale
Champ d'application
La diffractométrie de rayons X est une méthode d'analyse physico-chimique. Elle ne fonctionne que sur la matière cristallisée (minéraux, métaux, céramiques, produits organiques cristallisés), mais pas sur la matière amorphe (liquides, polymères, verres) ; cependant, la matière amorphe diffuse les rayons X, et elle peut être partiellement cristallisée, la technique peut par conséquent se révéler utile dans ces cas-là. Par contre, elle sert à reconnaître des produits ayant la même composition chimique brute, mais une forme de cristallisation différente, par exemple de distinguer les différentes silices (qui ont toutes la même formule brute SiO2 : quartz, cristobalite…), les différents aciers (acier ferritique, austénite…) ou les différentes alumines (qui ont toutes la même formule brute Al2O3 : corindon/alumine α, γ, δ, θ…).
Méthode
On prépare l'échantillon sous la forme d'une poudre aplanie dans une coupelle, ou bien sous la forme d'une plaquette solide plate. On envoie des rayons X sur cet échantillon, et un détecteur fait le tour de l'échantillon pour mesurer l'intensité des rayons X selon la direction. Pour des raisons pratiques, on fait tourner l'échantillon en même temps, ou peut-être on fait tourner le tube produisant les rayons X.
Applications
La technique est utilisée pour caractériser la matière. Cela concerne :
- la recherche : quand on crée un nouveau matériau (fréquemment des céramiques), qu'on veut connaître le résultat d'une réaction chimique ou physique (par exemple en métallurgie, pour reconnaître les produits de corrosion ou savoir quel type d'acier on a fabriqué), en géologie (géochimie) pour reconnaître la roche prélevée à un lieu ;
- pour le suivi de production dans une usine (contrôle de la qualité du produit) : dans les cimenteries, les fabriques de céramiques…
- l'industrie pharmaceutique :
- en recherche : les nouvelles molécules sont cristallisées, et les cristaux sont étudiés par diffractométrie de rayons X ;
- en production : cela sert surtout à vérifier qu'on n'a pas fabriqué une autre molécule de même formule, mais de forme différente (on parle de polymorphisme)
Interaction rayons X-matière
Les rayons X, comme l'ensemble des ondes électromagnétiques, provoquent un déplacement du nuage électronique comparé au noyau dans les atomes ; ces oscillations induites provoquent une réémission d'ondes électromagnétiques de même fréquence ; ce phénomène est nommé diffusion Rayleigh.
La longueur d'onde des rayons X étant de l'ordre de grandeur des distances interatomiques (quelques angström), les interférences des rayons diffusés vont être alternativement constructives ou destructives. Selon la direction de l'espace, on va par conséquent avoir un flux important de photons X, ou au contraire particulièrement faible ; ces variations selon les directions forment le phénomène de diffraction X.
Ce phénomène a été découvert par Max von Laue (Prix Nobel en 1914), et longuement étudié par sir William Henry Bragg et son fils sir William Lawrence Bragg (prix Nobel commun en 1915),
Les directions dans lesquelles les interférences sont constructives, nommées «pics de diffraction», peuvent être déterminées particulièrement simplement par la formule suivante, dite loi de Bragg :
avec
- d = distance interréticulaire, c'est-à-dire distance entre deux plans cristallographiques ;
- θ = demi-angle de déviation (moitié de l'angle entre le faisceau incident et la direction du détecteur) ;
- n = ordre de réflexion (nombre entier) ;
- λ = longueur d'onde des rayons X.
Comme les plans cristallographiques peuvent être repérés par les indices de Miller {hkl}, on peut indexer les pics de diffraction selon ces indices.
Applications de la DRX
Identification de phases cristallines
Principes de l'identification des phases
L'idée d'utiliser la diffraction des rayons X pour identifier une phase fut développée au début du XXe siècle de manière indépendante par Albert Hull [1], [2] en 1919 d'une part, et par Peter Debye et Paul Scherrer d'autre part[3]. À cause de la guerre, la publication et la diffusion des journaux scientifiques était complexe ; chronologiquement, c'est Hull qui publia le premier ses travaux, mais la méthode porte le nom de Debye et Scherrer.
Une poudre constituée d'une phase cristalline donnée va toujours donner lieu à des pics de diffraction dans les mêmes directions, avec des hauteurs relatives environ constantes. Ce diagramme de diffraction forme ainsi une véritable signature de la phase cristalline. Il est par conséquent envisageable de déterminer la nature de chaque phase cristalline au sein d'un mélange (mélange de poudre ou échantillon massif polyphasique), à condition d'avoir jusque là déterminé la signature de chaque phase.
La détermination de cette signature peut se faire soit de manière expérimentale (mesure d'un produit pur dans des conditions parfaites), soit par simulation numérique à partir de la structure cristallographique connue — structure ayant elle-même pu être déterminée par diffraction X (cf. ci-dessous). Cette signature est consignée dans une fiche sous la forme d'une liste de pics ; la position en 2θ est convertie en distance interréticulaire d par la loi de Bragg, afin d'avoir une valeur indépendante de la longueur d'onde des rayons X (et par conséquent du type de source de rayons X utilisée). L'intensité I de chaque pic est exprimée en pourcent %, quelquefois en pourmille ‰, 100 % (ou 1 000 ‰) étant la hauteur du pic le plus intense. Cette liste de pics est fréquemment désignée par le terme «liste de d—I». On forme ainsi des bases de données, et le diagramme mesuré sur le produit inconnu est comparé de manière informatique à l'ensemble des fiches de la base de données. La base de données la plus complète à l'heure actuelle (2004) est la Powder diffraction file (PDF) de l'ICDD (ex-JCPDS : Joint committee on powder diffraction standards, ex- comité E4 de l'ASTM), avec d'avantage de 150 000 fiches (dont cependant de nombreuses redondances).
L'intérêt de cette méthode est qu'elle sert à distinguer les différentes formes de cristallisation d'un même composé (par exemple pour la silice, distinguer le quartz de la cristobalite). Cependant, elle ne peut le plus souvent pas permettre d'identifier des composés amorphes. Cette technique est par conséquent complémentaire de l'analyse élémentaire.
La procédure d'identification des phases se fait en deux étapes : une étape de recherche dans une base (search), puis une confrontation des fiches probables avec ce qui est envisageable chimiquement (match) ; on parle par conséquent souvent de search/match pour désigner cette procédure.
Au final, c'est l'utilisateur qui détermine si un produit est présent ou pas : à cause des possibilités de confusion (plusieurs produits particulièrement différents pouvant avoir des signatures particulièrement proches), un algorithme automatisé ne peut pas prendre seul la décision. C'est en dernier ressort la compétence de l'utilisateur, son habileté et sa connaissance de l'échantillon qui interviennent.
Dans certains domaines, on veut simplement savoir si on n'a que l'ou les phases prévues et pas d'autre (surtout, problème des polymorphes) dans le suivi de la production pharmaceutique. Dans ce contexte, il suffit d'établir une liste de pics sur le diffractogramme du produit inconnu, qu'on compare à une liste de pics établie sur le diffractogramme d'un produit étalon (c'est-à-dire dont la composition chimique est maîtrisée).
Problèmes rencontrés
Dans le cas d'un produit réellement inconnu et dont on cherche à identifier l'ensemble des phases, on est confronté essentiellement à trois problèmes :
- l'écart de la signature d'un produit comparé à sa signature théorique ou parfaite :
- la position en 2θ des pics d'une phase peuvent être décalés :
- problème d'alignement du diffractomètre ;
- problème de hauteur de la surface de l'échantillon ;
- problème de variation des paramètres de la maille cristalline, à cause des contraintes ou de la solution solide — produit non pur,
- les hauteurs relatives des pics ne sont que rarement respectées :
- orientation préférentielle ;
- nombre de cristallites insuffisants pour avoir une bonne statistique ;
- superposition de pics ;
- la position en 2θ des pics d'une phase peuvent être décalés :
- le mélange des pics est quelquefois complexe, avec des superpositions ;
- il faut comparer le diffractogramme avec plusieurs centaines de milliers de fiches de référence.
Algorithmes manuels d'identification des phases
Méthode d'Hanawalt
Le premier algorithme fut découvert par Hanawalt en 1936[4], [5], [6]. À l'époque, les fiches de référence étaient sous forme papier. Hanawalt regroupa les fiches dont le pic principal (dit «pic à 100 %») étaient au même lieu (ou plus exactement dans une même zone 2θ restreinte), les catégories ainsi crées étant classées par ordre croissant de position 2θ ; puis, dans une catégorie de fiches, il regroupa les fiches dont le second pic le plus intense étaient au même lieu, classant de même les sous-catégories, et dans une sous-catégorie, il classa les fiches par ordre de position du troisième pics le plus intense. Pour dépouiller un diffractogramme, il procédait par conséquent ainsi :
- on déterminait les trois pics les plus intenses, et on recherchait dans la liste d'Hanawalt l'ou les fiches pouvant correspondre ;
- le premier produit étant identifié, on éliminait les trois pics reconnus et on recommençait.
Cette méthode porte aussi le nom de «méthode ASTM »[7].
Cependant, il fallait aussi prendre en compte les envisageables superpositions de pics, par conséquent la possibilité qu'un pic appartenant à une phase déjà identifiée appartienne aussi à une autre phase. De fait, l'identification devenait extrêmement complexe au-delà d'un mélange de trois phases, et était peu performante pour détecter les phases présentes en faible quantité, c'est-à-dire générant des pics de faible hauteur.
Méthode Fink
La méthode Fink[8] fut développée par W. Bigelow et J. V. Smith de l'ASTM au début des années 1960, qui lui donnèrent le nom de William Fink, un référent du JCPDS. L'idée est de considérer les quatre pics les plus intenses d'une fiche, d'appliquer l'ensemble des permutations envisageables, puis de classer toutes ces solutions par ordre de d croissant. Lors d'une recherche, l'opérateur prend la première valeur de d rencontrée sur le diffractogramme, puis cherche dans l'index les fiches auxquelles ce pic pourrait appartenir. Les autres pics de chaque fiche sont ensuite confrontés au diffractogramme.
Algorithmes informatiques d'identification des phases
L'informatique a permis d'automatiser les procédures manuelles, surtout avec des algorithmes de recherche automatique de pics et des comparaisons avec les fiches sous formes électroniques. Elle a aussi permis de perfectionner l'algorithme, en multipliant les comparaisons envisageables au lieu de se contenter des trois pics les plus intenses. Elle a aussi permis de croiser les informations sur les pics avec des informations sur la composition chimique (recherche dite «booléenne» car elle utilise des opérations logiques du type «et», «non» et «ou»).
Les premiers programmes sont apparus au milieu des années 1960, avec des limitations inhérentes à la qualité des diffractogrammes ainsi qu'aux capacités de calcul des ordinateurs : les programmes devaient considérer des possibilités d'erreur importantes sur les valeurs de d et de I.
M. C. Nichols[9], [10] adapte ainsi l'algorithme d'Hanawalt en 1966. G. G. Johnson Jr. et V. Vand adoptent quant à eux une approche fermement nouvelle en 1965[9], [11] : ils comparent de manière systématique l'ensemble des fiches de la base de donnée avec la liste de d–I extraite du diffractogramme, et donnent une note à la fiche (FOM, figure of merit). Les fiches de la base de données sont par conséquent classées par ordre de note de correspondance, puis les «meilleurs élèves» sont affichés (typiquement, on affiche les 50 premiers), classés selon le nombre de pics communs à la fiche ainsi qu'à la liste de d–I extraite du diffractogramme, puis selon la note.
En 1982, le fabricant Philips développe un algorithme propriétaire (non publié) construit sur la méthode des moindres carrés[12] : la note pour chaque fiche est calculée selon l'écart entre les pics de la fiche de référence et la liste de d–I extraite du diffractogramme.
Le perfectionnement récente principale a eu lieu en 1986[13], [14], [15], avec le programme commercial Eva (suite logicielle DIFFRAC-AT, puis DIFFRACplus) de la société Socabim, une PME française œuvrant principalement pour le fabricant Siemens. Cet algorithme propriétaire (non publié) reprend la logique de Johnson et Vand ; cependant, il ne se contente pas d'extraire une liste de pics du diffractogramme, mais compare chaque fiche avec le diffractogramme lui-même pour donner une note à la fiche (mieux la fiche correspond au diffractogramme, plus la note est basse). Les fiches de la base de données sont par conséquent classées par ordre de correspondance, puis les «meilleurs élèves» sont affichés (typiquement, on affiche les 50 premiers) ; l'utilisateur superpose ensuite les fiches (représentées sous la forme de bâtons) au diffractogramme pour déterminer les fiches qu'il retient. Ainsi, l'algorithme utilise la totalité des points mesurés, et surtout la ligne de fond, au lieu de se contenter d'une liste restreinte de sommet de pics ; il prend en compte la superposition des pics (si le bâton d'une fiche se trouve dans une zone où le signal est au-dessus de la ligne de fond, peu importe qu'il soit seul ou qu'il y ait d'autres bâtons) et sert à détecter les phases minoritaires. D'autres sociétés ont ensuite développé des algorithmes identiques.
Analyse quantitative
Méthode des surfaces de pic
La théorie indique que dans un mélange, la surface nette des pics d'une phase (dite aussi «intensité intégrale») est proportionnelle à la concentration de la phase moyennant un terme d'absorption : les rayons X sont absorbés par la matière selon une loi de Beer-Lambert, par conséquent 1 % d'un matériau donné ne donne pas le même signal selon les 99 % restant.
On peut par conséquent écrire une loi de la forme :
où
- ci est la concentration de la phase i ;
- Ii est l'intensité intégrale d'un pic donné de i ;
- mi est un cœfficient d'étalonnage, une constante de du couple appareil/phase ;
- A est le terme d'absorption, qui est le même pour l'ensemble des phases (puisque on travaille en rayonnement monochromatique).
Le cœfficient d'étalonnage évolue avec l'âge de l'appareil, et surtout le vieillissement du tube à rayons X.
On peut s'abstraire de l'absorption de deux manières (méthodes de Chung) :
- en introduisant un étalon interne : si l'échantillon est sous forme de poudre, on peut mélanger une quantité donnée et connue d'une phase de stable r, et on travaille alors en rapport d'intensité et de concentration :
- en utilisant une équation supplémentaire : si l'ensemble des phases soient mesurables et mesurées, la somme des concentrations est égale à 100 %, on a alors tout autant d'équations que d'inconnues.
Ces deux méthodes permettent aussi de s'abstraire du vieillissement du tube.
Si les échantillons sont presque semblables, on considère généralement que le terme d'absorption est toujours le même et se contenter d'intégrer ce dernier dans le cœfficient d'étalonnage. Cependant, cette méthode devient erronée si on sort d'une gamme de concentrations restreinte, et il faut refaire l'étalonnage régulièrement pour prendre en compte le vieillissement du tube, ou bien déterminer la variation d'intensité pour la corriger, méthode dite de «correction de dérive» (drift correction) .
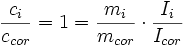
Rapport d'intensité de référence
Si on choisit une méthode de préparation de référence avec un étalon interne donné, il est envisageable d'établir un cœfficient d'étalonnage par défaut ; c'est la méthode dite RIR, pour «rapport d'intensité de référence» (reference intensity ratio).
La méthode qui fait référence est la suivante :
- on prépare l'échantillon sous forme de poudre ;
- on le mélange avec 50 % de corindon (alumine α-Al2O3) et on le mesure ;
- on fait le rapport entre le pic le plus grand de la phase et le pic le plus grand de corindon.
Ce rapport d'intensité est nommé I/Icor, et forme le cœfficient d'étalonnage de référence.
Si désormais on considère les équations ci-dessus, on a, comme ci = ccor :
soit
Dans le cas général ci ≠ ccor, on a donc :
En faisant le rapport pour deux phases i et j, on obtient :
On voit tandis que les concentration et intensité du corindon disparaissent des formules. On peut par conséquent mesurer l'échantillon inconnu sans ajouter de corindon et utiliser tout de même les cœfficients d'étalonnage établis avec le corindon.
Cette méthode est dite «semi-quantitative» car il n'est pas envisageable de définir l'erreur commise sur la mesure. En effet, comme les échantillons de référence n'ont pas la même nature que l'échantillon inconnu et n'ont pas subit la même préparation, il n'est pas envisageable d'utiliser l'écart type obtenu sur l'étalonnage pour avoir une estimation de l'erreur. D'autre part, l'écart type sur l'étalonnage n'est généralement pas apporté.
Méthode de Rietveld
On peut aussi faire de la quantification par la méthode de Rietveld : on part de concentrations arbitraires, et on simule le diffractogramme qu'on obtiendrait, en utilisant la théorie de la diffraction. Puis, on ajuste les concentrations pour rapprocher le diffractogramme simulé du diffractogramme mesuré (méthode des moindres carrés).
La méthode de Rietveld est une méthode sans étalon, mais elle nécessite d'acquérir un diffractogramme sur une grande plage angulaire avec une bonne précision (donc une mesure longue), tandis que la méthode de l'intensité intégrale sert à ne mesurer que des plages de quelques degrés autour des pics intéressants. Mais la méthode de Rietveld est l'unique exploitable si on ne peut pas utiliser de pic isolés (problèmes de superposition de pics).
Pour obtenir informatiquement le spectre théorique voulu, l'expérimentateur peut affiner plusieurs paramètres :
- Les paramètres de maille
- Le taux de cristallinité
- La forme des pics (Gaussien ou Lorentzien) et ajustant le cœfficient eta.
- La forme du pied des pics (Cœfficients de Caglioti)
- Le bruit de fond (polynôme de degré 5 généralement)
- Le décalage d'origine
- Le facteur d'échelle
Mesure de contraintes
Si le cristal est comprimé ou étiré, les distances interréticulaires fluctuent. Ceci entraîne une variation de la position des pics.
En mesurant les déplacement des pics, on peut en déduire la déformation de la maille, et par conséquent, à partir des cœfficients élastiques, la contrainte résiduelle dans le matériau.
En faisant fluctuer l'orientation de l'échantillon comparé au vecteur de diffraction (bissectrice entre faisceau incident et faisceau détecté), on peut mesurer la variation de cette contrainte selon l'orientation de l'échantillon, et par conséquent déterminer le tenseur des contraintes.
Mesure de la texture
Une des hypothèses de la diffraction de poudre avec géométrie de Bragg-Brentano est que l'ensemble des orientations cristallines doivent être respectées. En effet, comme le vecteur de diffraction est toujours perpendiculaire à la surface de l'échantillon, un plan (hkl) ne peut donner un pic que s'il existe des cristallites dont le plan (hkl) est parallèle à la surface.
Si l'échantillon n'est pas isotrope, alors certains plans donneront des pics moins élevés, d'autres plus élevés qu'une poudre isotrope. D'autre part, si on incline l'échantillon, le nombre de cristallites dont le plan (hkl) diffracte va fluctuer ; ainsi, en mesurant la hauteur de deux pics pour plusieurs orientations de l'échantillon, on peut déterminer l'orientation globale des cristallites, c'est-à-dire la texture.
Détermination de structures cristallographiques
À partir des intensités diffractées et de la relation inverse (réseau réciproque—réseau réel), il est envisageable, à partir d'une série d'images de diffraction, de déterminer l'arrangement tridimensionnel des atomes d'une structure cristalline. Cette méthode a pris une importance énormes ces dernières années pour la détermination de la structure des protéines biologiques.
On part de figure de diffraction sur monocristal (clichés de Laue). Avec un logiciel (par exemple Denzo), il est envisageable de déterminer les axes et centres de symétrie d'un cristal et de proposer le système cristallin le plus probable parmi les sept existants (triclinique, monoclinique, orthorhombique, trigonal, tétragonal=quadratique, hexagonal, cubique). C'est ensuite à l'utilisateur de choisir le groupe d'espace le plus approprié : le dispositif choisi est le plus souvent celui qui a la plus haute symétrie afin d'avoir la meilleure résolution (c'est le plus souvent à la fin de l'analyse, quand l'ensemble des positions atomiques sont déterminées que peut être précisé le groupe d'espace). Des paramètres de maille sont alors proposés.
Le facteur de fiabilité R (reliability) sert à calculer le degré de fiabilité de la maille proposée comparé à la structure cristalline réelle. Lorsqu'il atteint une valeur suffisamment faible cela veut dire que le modèle de maille est acceptable ; on peut alors passer à l'étape suivante c'est-à-dire l'intégration des intensités diffractées et l'affinement des paramètres de maille.
Les amplitudes diffractées sont caractéristiques de la nature et de la position des atomes, en fait de la densité électronique en tout point de la maille. Plus précisément, espace réel (de la structure cristalline) et réciproque (des directions de diffraction) sont liés par transformation de Fourier. Malheureusement, une partie importante de l'information est perdue lors de la collection des images de diffraction, puisque seule la norme des intensités complexes est mesurable par les détecteurs. Les phases, qui portent une part particulièrement importante de l'information structurale, sont perdues et doivent êtres déterminées (expérimentalement et/ou informatiquement). Il est indispensable d'intégrer la plupart de «taches», correspondant à l'intensité des réflexions sur le réseau cristallin.
Pour les petits composés (mailles contenant peu d'atomes), des procédures ab initio ont été mises au point. Par contre, pour des composés de masse molaire (ou poids moléculaire) plus importante, on utilise des méthodes :
- de dérivation aux atomes lourds ;
- anomales ;
- ou bien de remplacement moléculaire, lorsque la structure (de l'unité asymétrique) est partiellement connue.
Par itérations successives, il est alors envisageable de déterminer les phases manquantes, et par là même d'affiner la structure cristallographique du composé.
Occasionnellement, on peut utiliser la méthode de Rietveld sur des diffractogrammes de poudre. La préparation est bien moins contraignante — il n'est pas indispensable d'obtenir un «gros» monocristal —, mais le diffractogramme de poudres contient moins d'informations qu'un cliché de Laue, puisque on perd la répartition de l'intensité autour du vecteur de diffraction.
Annexes
Bibliographie
- Méthodes physiques d'étude des minéraux et des matériaux, J. -P. Eberhart, éd. Doin éditeurs, 1976
- Elements of X-ray Diffraction, B. D. Cullity, éd. Addison-Wesley, 1956
- Introduction to X-ray Powder Diffraction, R. Jenkins, R. L. Snyder, éd. Wiley Interscience, 1996
- A computerized powder identification system, G. G. Johnson Jr., V. Vand, Ind. Eng. Chem vol. 59, p19, 1965
- A Fortran II program for the identification of X-ray powder diffraction patterns, M. C. Nichols, UCRL-70078, 1966
- A new minicomputer search/match/identify program for qualitative phase analysis with the powder diffractometer, W. N. Schreiner, C. Surdukowski, R. Jenkins, J. Appl. Crystallogr. vol. 15, pp 513–523, 1982
- Using digitized X-ray powder diffraction scans as input for a new PC-AT Search/match program, P. Caussin, J. Nusinovici, D. W. Beard, Adv. X-Ray Anal. vol. 31, pp 423–430, 1988
- Powder diffraction, J. Ian Ianford, D. Louër, Rep. Prog. Phys. vol. 59, pp 131–234, 1996
- Chemical Analysis by X-Ray Diffraction, J. D. Hannawalt, H. W. Rinn et L. K. Fevel, Ind. Eng. Chem. , Anal. Ed. 10, pp 457–512, 1938
- A New Method of Chemical Analysis, A. W. Hull, J. Am. Chem. Soc. 41, pp 1168–1195, 1919
- [pdf] Autobiography, A. W. Hull, Fifty Years of X-Ray Diffraction, IUCr
- [pdf] Personal Reminescences, P. Scherrer, Fifty Years of X-Ray Diffraction, IUCr
- [pdf] Fast residual stress mapping using energydispersive synchrotron X-ray diffraction, Alexander M. Korsunsky, Steve P. Collins, R. Alexander Owen, Mark R. Daymond, Saïda Achtioui et Karen E. James 2002
Liens externes
- (fr) Diffraction des rayons X
- (en) X-ray based methods of analysis, K. Janssens, Université d'Anvers
- (en) CCP14 : Collaborative Computational Project For Single Crystal and Powder Diffraction
- ICDD (International center for diffraction data, ex-JCPDS : Joint commitee on powder diffraction standards)
- (en) Fifty Years of X-Ray Diffraction, IUCr
- (en) Australian X-ray Analytical Association (AXAA)
- (en) X-Ray Interactions With Matter
Références
- (en) DOI :A New Method of Chemical Analysis, A. W. Hull, J. Am. Chem. Soc. 41, pp1168–1195 (1919)
- (en) [pdf] Autobiography, A. W. Hull, Fifty Years of X-Ray Diffraction, IUCr
- (en) [pdf] Personal Reminescences, P. Scherrer, Fifty Years of X-Ray Diffraction, IUCr
- (en) Elements of X-ray Diffraction, B. D. Cullity, éd. Addison-Wesley, 1956, p 379
- (en) Introduction to X-ray Powder Diffraction, R. Jenkins, R. L. Snyder, éd. Wiley Interscience, 1996, p335
- (en) DOI :Chemical Analysis by X-Ray Diffraction, J. D. Hannawalt, H. W. Rinn et L. K. Fevel, Ind. Eng. Chem. , Anal. Ed. 10, pp 457–512 (1938)
- Méthodes physiques d'étude des minéraux et des matériaux, J. -P. Eberhart, éd. Doin éditeurs, 1976, p209
- (en) Introduction to X-ray Powder Diffraction, R. Jenkins, R. L. Snyder, éd. Wiley Interscience, 1996, p341
- (en) Introduction to X-ray Powder Diffraction, R. Jenkins, R. L. Snyder, éd. Wiley Interscience, 1996, p347
- (en) DOI :A computerized powder identification system, G. G. Johnson Jr., V. Vand, Ind. Eng. Chem vol. 59, p19 (1965)
- (en) A Fortran II program for the identification of X-ray powder diffraction patterns, M. C. Nichols, UCRL-70078, 1966
- (en) DOI :A new minicomputer search/match/identify program for qualitative phase analysis with the powder diffractometer, W. N. Schreiner, C. Surdukowski, R. Jenkins, J. Appl. Crystallogr. vol. 15, pp 513–523 (1982)
- (en) Introduction to X-ray Powder Diffraction, R. Jenkins, R. L. Snyder, éd. Wiley Interscience, 1996, p349-350
- (en) Using digitized X-ray powder diffraction scans as input for a new PC-AT Search/match program, P. Caussin, J. Nusinovici, D. W. Beard, Adv. X-Ray Anal. vol. 31, pp 423–430, 1988
- (en) DOI :Powder diffraction, J. Ian Ianford, D. Louër, Rep. Prog. Phys. vol. 59, pp 131—234 (1996)
- (en) DOI :A New Method of Chemical Analysis, A. W. Hull, J. Am. Chem. Soc. 41, pp1168–1195 (1919)
- (en) [pdf] Autobiography, A. W. Hull, Fifty Years of X-Ray Diffraction, IUCr
- (en) [pdf] Personal Reminescences, P. Scherrer, Fifty Years of X-Ray Diffraction, IUCr
- (en) Elements of X-ray Diffraction, B. D. Cullity, éd. Addison-Wesley, 1956, p 379
- (en) Introduction to X-ray Powder Diffraction, R. Jenkins, R. L. Snyder, éd. Wiley Interscience, 1996, p335
- (en) DOI :Chemical Analysis by X-Ray Diffraction, J. D. Hannawalt, H. W. Rinn et L. K. Fevel, Ind. Eng. Chem. , Anal. Ed. 10, pp 457–512 (1938)
- Méthodes physiques d'étude des minéraux et des matériaux, J. -P. Eberhart, éd. Doin éditeurs, 1976, p209
- (en) Introduction to X-ray Powder Diffraction, R. Jenkins, R. L. Snyder, éd. Wiley Interscience, 1996, p341
- (en) Introduction to X-ray Powder Diffraction, R. Jenkins, R. L. Snyder, éd. Wiley Interscience, 1996, p347
- (en) DOI :A computerized powder identification system, G. G. Johnson Jr., V. Vand, Ind. Eng. Chem vol. 59, p19 (1965)
- (en) A Fortran II program for the identification of X-ray powder diffraction patterns, M. C. Nichols, UCRL-70078, 1966
- (en) DOI :A new minicomputer search/match/identify program for qualitative phase analysis with the powder diffractometer, W. N. Schreiner, C. Surdukowski, R. Jenkins, J. Appl. Crystallogr. vol. 15, pp 513–523 (1982)
- (en) Introduction to X-ray Powder Diffraction, R. Jenkins, R. L. Snyder, éd. Wiley Interscience, 1996, p349-350
- (en) Using digitized X-ray powder diffraction scans as input for a new PC-AT Search/match program, P. Caussin, J. Nusinovici, D. W. Beard, Adv. X-Ray Anal. vol. 31, pp 423–430, 1988
- (en) DOI :Powder diffraction, J. Ian Ianford, D. Louër, Rep. Prog. Phys. vol. 59, pp 131—234 (1996)
Recherche sur Amazone (livres) : |
Voir la liste des contributeurs.
La version présentée ici à été extraite depuis cette source le 30/11/2010.
Ce texte est disponible sous les termes de la licence de documentation libre GNU (GFDL).
La liste des définitions proposées en tête de page est une sélection parmi les résultats obtenus à l'aide de la commande "define:" de Google.
Cette page fait partie du projet Wikibis.











Accueil
Recherche
Début page
Contact
Imprimer
Accessibilité