Réseau réciproque
En cristallographie, le réseau réciproque d'un réseau de Bravais est la totalité des vecteurs tels que
Recherche sur Google Images :
Source image : commons.wikimedia.org Cette image est un résultat de recherche de Google Image. Elle est peut-être réduite par rapport à l'originale et/ou protégée par des droits d'auteur. |
Page(s) en rapport avec ce sujet :
- L'espace réciproque. Espace des vecteurs d'onde; Espace de Fourier. Inverse; Orthogonal. Réseau réciproque. Définition géométrique... (source : lps.u-psud)
- Question no 1 : Ecrire les vecteurs dans la base naturelle du cube de côté (paramêtre) a. 2 Réseau réciproque. Le réseau réciproque (ou dual) est défini par... (source : iramis.cea)
En cristallographie, le réseau réciproque d'un réseau de Bravais est la totalité des vecteurs
tels que
pour l'ensemble des vecteurs position
du réseau de Bravais. Ce réseau réciproque est lui-même un réseau de Bravais, et son réseau réciproque est le réseau de Bravais de départ.
Maille du réseau réciproque
Un cristal peut se décrire comme un réseau aux nœuds duquel se trouvent des motifs : atome, ion, molécule.
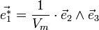
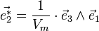
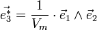
Si on nomme
les vecteurs définissant la maille élémentaire, ces vecteurs définissent une base de l'espace. On peut définir une base réciproque par
vérifiant[1]
ce qui donne
où Vm est le volume de la maille du réseau direct :
Les points ayant des coordonnées entières dans le repère
forment un réseau nommé réseau réciproque.
Application
L'étude des cristaux se fait généralement par diffraction d'un rayonnement ayant une longueur d'onde de l'ordre de la distance inter-atomique. À partir de la figure de diffraction obtenue, on peut déterminer la forme du réseau, et par conséquent la structure du cristal.
Si on appelle
le vecteur d'onde du rayonnement incident ;
le vecteur des ondes diffusées dans une direction donnée ;
le vecteur de diffusion (ou vecteur de diffraction) défini par
,
alors la condition de diffraction sur un monocristal est donnée par le théorème de Bloch :
- il y a diffraction si
est un vecteur du réseau réciproque.
Exemples de réseaux réciproques
Pour trouver le réseau réciproque il faut considérer la maille primitive. On utilise par contre fréquemment des réseaux non-primitifs, comme le cubique centré (2 nœuds par maille) et le cubique faces centrées (4 nœuds par maille).
| Réseau (paramètre) | Réseau réciproque (paramètre) | Première zone de Brillouin |
|---|---|---|
| cubique (a) | cubique (2π / a) | cube |
| cubique centré (a) | cubique faces centrées (4π / a) | octaèdre obtus |
| cubique faces centrées (a) | cubique centré (4π / a) | dodécaèdre rhombique |
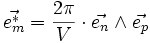
Ici on a posé 
Note
- Il existe deux manières de définir le vecteur d'onde : soit sa norme est 1/λ, on a alors les formules indiquées ; soit sa norme est 2π/λ et on a alors
Voir aussi
Recherche sur Amazone (livres) : |
Voir la liste des contributeurs.
La version présentée ici à été extraite depuis cette source le 30/11/2010.
Ce texte est disponible sous les termes de la licence de documentation libre GNU (GFDL).
La liste des définitions proposées en tête de page est une sélection parmi les résultats obtenus à l'aide de la commande "define:" de Google.
Cette page fait partie du projet Wikibis.










Accueil
Recherche
Début page
Contact
Imprimer
Accessibilité