Méthode de Wijs
L'indice d'iode d'un lipide est la masse de diiode capable de se fixer sur les insaturations des acides gras de 100 g de matière grasse par contre l'indice d'iode en lui même ne possède pas d'unité.
Recherche sur Google Images :
Source image : fr.wikipedia.org Cette image est un résultat de recherche de Google Image. Elle est peut-être réduite par rapport à l'originale et/ou protégée par des droits d'auteur. |
Page(s) en rapport avec ce sujet :
- Corps gras : Ce sont des triesters du glycérol et d'acides gras (acides... 2) Principe de la méthode. On introduit une quantité de réactif de Wijs en excès... (source : pedagogie.ac-montpellier)
- Déterminer l'indice d'iode d'un corps gras par la technique iodométrique.... La méthode d'analyse quantitative utilisée pour déterminer la valeur de cet indice est ... La réaction du réactif de Wijs avec les acides gras non saturés... (source : cyber.collegeshawinigan.qc)
- La méthode de WIJS a été retenu par la FIL (fédération international... -Il faut laisser le réactif en contact avec le corp gras pendant un... (source : pharmavie.exprimetoi)
Définition
L'indice d'iode d'un lipide est la masse de diiode (I2) (exprimée en gramme) capable de se fixer sur les insaturations (double liaison le plus fréquemment) des acides gras de 100 g de matière grasse par contre l'indice d'iode en lui même ne possède pas d'unité.
La méthode de Wijs nous sert à déterminer par expérimentation le nombre de doubles liaisons que possède un acide gras. Cela peut présenter un intérêt pour identifier un acide gras si on connaît d'autres de ses caractéristiques.
Principe
Dans cette méthode, on utilise le réactif de Wijs qui est une solution de monochlorure d'iode ICI, composé plus réactif que le diiode, mais strictement équivalent à ce dernier du point de vue du nombre de moles fixées sur les doubles liaisons. On fait alors agir le réactif de Wijs, qu'on met en excès connu, sur un corps gras non saturé, ICI se fixe sur les doubles liaisons;


Schéma du dosage
VT correspond au volume de
versé au témoin.
VE correspond au volume de
versé a l'essai.
Une masse d'acide gras est mis en excès avec du réactif de Wijs. L'excès est dosé par une solution de thiosulfate (VE). En parallèle, un témoin est réalisé dans les mêmes conditions (même réactif mais sans corps gras)
Protocole
Matériel
-
- Deux erlenmeyers avec bouchon adaptable ;
- Une pipette jaugé de 20 mL ;
- Une burette.
Solutions
-
- Du cyclohexane ;
- Du réactif de wijs ;
- De l'eau distillée ;
- De l'iodure de potassium a 100 g. L-1 ;
- Du thiosulfate de sodium a concentration de 0, 2 mol. L-1 à peu près.
Étapes
- Dans l'erlenmeyer, introduire :
- Une masse de corps gras précisément pesée proche de 0, 2 g ;
- 20 mL de cyclohexane ;
- 20 mL de réactif de Wijs ;
- Boucher et agiter energiquement.
- Laisser reposer 40 minutes à l'obscurité en secouant de temps à autre.
- Ajouter ensuite :
- 100 mL d'eau distillée ;
- 20 mL d'iodure de potassium à 100 g. L-1 ;
- Boucher et agiter vigoureusement pendant 5 minutes ;
- Doser l'iode constitué par le thiosulfate de sodium.
Réaliser dans les mêmes conditions un témoin en utilisant la moitié des réactifs mais sans corps gras.
Précisions
- Les lipides sont solubles dans les solvants organiques et non dans l'eau d'où l'utilisation de cyclohexane.
- Le diiode est plus soluble dans le cyclohexane que dans l'eau, c'est pour cela qu'il faut agiter pour faire passer le diiode dans l'eau, à l'endroit où il peut être dosé.
- Lorsque la phase aqueuse est presque décolorée, ajouter 1 mL d'empois d'amidon puis continuer le dosage jusqu'à décoloration totale des deux phases.
- La réalisation d'un témoin est indispensable pour la réalisation des calculs. Le témoin peut être fait avec la moitié ou la totalité des réactifs
- Ne jetez rien dans le lavabo ! Débarrassez-vous des déchets organiques dans un conteneur prévu à cet effet.
Calculs
Détermination de l'indice d'iode
(si vous avez fait un témoin avec l'ensemble des réactifs ne multipliez pas VT par 2)
Une mole de
réagit avec 2 moles de
, donc :



Par la suite, il faut rapporter à 100 g de corps gras.
Exemple :
- 0, 155 g de I2 réagissent avec 0.183 g de corps gras.
- x g de I2 réagissent avec 100 g de corps gras.


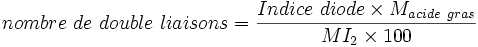
Détermination du nombre de double liaisons

Quelques Indices d'iode
| Coprah | 5-9 |
|---|---|
| Palmiste | 12-19 |
| Palme | 45-58 |
| Olive | 83-87 |
| Arachide | 90-98 |
| Maïs | 110-128 |
| Tournesol | 120-136 |
| Soja | 125-138 |
| Noix | 135-150 |
| Lin cultivé | 170-202 |
| Colza | 97-107 |
| Beurre | 30-45 |
|---|---|
| Suif de bœuf | 42-48 |
| Saindoux | 52-68 |
| Hareng | 135-140 |
| Sardine | 170-190 |
| Baleine | 105-120 |
Voir aussi
Recherche sur Amazone (livres) : |
Voir la liste des contributeurs.
La version présentée ici à été extraite depuis cette source le 30/11/2010.
Ce texte est disponible sous les termes de la licence de documentation libre GNU (GFDL).
La liste des définitions proposées en tête de page est une sélection parmi les résultats obtenus à l'aide de la commande "define:" de Google.
Cette page fait partie du projet Wikibis.



Accueil
Recherche
Début page
Contact
Imprimer
Accessibilité