Réaction haloforme
La réaction haloforme est la réaction chimique consistant à synthétiser un haloforme, c'est-à-dire un trihalogénométhane avec trois atomes halogènes semblables, iodoforme, bromoforme — le fluoroforme ne pouvant être obtenu par cette réaction),...

Catégories :
Test chimique - Chimie analytique - Réaction d'oxydo-réduction organique - Réaction formant une liaison carbone-hétéroatome
Recherche sur Google Images :
![]() Source image : fr.wikipedia.org Cette image est un résultat de recherche de Google Image. Elle est peut-être réduite par rapport à l'originale et/ou protégée par des droits d'auteur. |
Page(s) en rapport avec ce sujet :
- 4- Réaction Haloforme, sous l'effet de X2 en milieu basique (XONa) transforme une cétone méthylée en acide. (polyhalogénation rapide en milieu basique)... (source : gfev.univ-tln)
- Réaction haloforme : (cas des méthylcétones) CH3-CO-R +3I2 + 4HO- -------> CHI3 + R-COO-... Additions de l'hydrogénosulfite de sodium : (cétones méthylées)... (source : pedagogie.ac-montpellier)
- Pour les cétones méthylées ou cycliques peu encombrées.... 5.2.2. Milieu basique. Réaction haloforme des méthylcétones - mécanisme... (source : membres.multimania)
La réaction haloforme est la réaction chimique consistant à synthétiser un haloforme, c'est-à-dire un trihalogénométhane avec trois atomes halogènes semblables (chloroforme (CHCl3), iodoforme (CHI3), bromoforme (CHBr3) — le fluoroforme (CHF3) ne pouvant être obtenu par cette réaction), par l'halogénation d'une cétone méthylée (une molécule présentant la chaine R-C (=O) -CH3) en milieu basique[1].
Historique
La réaction haloforme est l'une des plus vieilles réaction organique décrite comme tel[2].
En 1822, Georges Serullas[3] fit réagir de l'éthanol avec du diiode et de l'hydroxyde de sodium dans l'eau, formant du formate de sodium et de l'iodoforme, nommé alors hydroïodide de carbone. En 1831, Justus von Liebig rapporta la réaction du chloral avec l'hydroxyde de calcium formant chloroforme et formate de calcium. Cette réaction fur redécouverte par Adolf Lieben en 1870[4]. C'est pourquoi le «test iodoforme» est quelquefois nommé la réaction haloforme de Lieben. Un récapitulatif historique sur la réaction haloforme fut publiée en 1934[5].
Réactifs
Les seuls réactifs susceptibles de réagir par la réaction haloforme sont les cétones méthylées et les alcools secondaires qui peuvent être oxydés en cétones méthylées, comme par exemple l'isopropanol. L'halogène utilisé peut être dichlore (Cl2), le dibrome (Br2) ou le diiode (I2), mais pas le difluor (F2) (voir mécanisme ci-dessous).
Mécanisme général
La première étape de ce mécanisme est la transformation du dihalogène en ion hypohalite (ion XO-), par réaction avec un ion hydroxyde (soude, potasse, etc. ) :
- X2 + OH−→ XO−+ X− + H+ (X = Cl, Br, I)
À ce stade intervient une première limite au mécanisme. Si la réaction se produit convenablement avec le dichlore (Cl2), le dibrome (Br2) ou le diiode (I2), le difluor (F2) ne réagit lui pas bien. En effet, l'ion hypofluorite (FO-) est énormément trop instable pour être synthétisé de cette façon, et pouvoir ensuite être utilisé pour la suite de la synthèse, ce qui interdit la synthèse du fluoroforme par cette réaction. Il est cependant envisageable de le synthétiser à partir de l'intermédiaire suivant, R- (C=O) -CF3, suivant les réactions à partir de la troisième étape.
Si le second réactif utilisé n'est pas une cétone méthylée, mais un alcool secondaire oxydable en cétone méthylée, ce dernier est oxydé par l'ion hydroxyde en présence de dihalogène :
La seconde étape est la réaction de la cétone méthylée avec l'ion hypohalite.
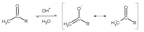
- Cette étape débute par l'arrachage d'un hydrogène du groupe méthyle par la base, stabilisé par l'équilibre de tautomérie entre la forme cétone et la forme énolate :
- L'énolate subit ensuite une attaque électrophile de la part de l'ion hypohalite :
- La cétone monosubsituée subit alors toujours deux fois le même mécanisme, jusqu'à l'obtention d'une cétone méthylée totalement substituée :
La troisième étape du mécanisme consiste au départ de l'ion CX3-, par un mécanisme de substitution nucléophile acylique par l'ion hydroxyde, formant un carbanion trisubstitué stabilisé par effet inductif.
La dernière étape consiste en une réaction acide base entre le carbanion trisubstitué et l'acide carboxylique, formant l'haloforme et un ion carboxylate.
Utilisations
Cette réaction est habituellement utilisée pour déterminer la présence de cétone méthylée, ou d'un alcool secondaire oxydable en cétone méthylée au travers de ce qu'on nomme le test iodoforme.
Cependant, les techniques actuelles de d'analyse chimiques, la spectroscopie RMN ou infrarouge par exemple, tendent à rendre cet usage dépassé, du simple fait que ces techniques ne détruisent pas l'échantillon (RMN) ou en utilise de plus petits, et sont plus facile et rapide à effectuer.
Anciennement cette réaction a été utilisé pour produite de les trois haloformes (chloroforme, iodoforme, bromoforme) de façon industrielle. [réf. nécessaire]
En chimie organique, cette réaction peut servir à convertir une cétone méthylée en acide carboxylique correspondant (non méthylé).
Test iodoforme
L'iodoforme (CHI3) est une substance jaune pâle, qui due à sa masse molaire élevée (due aux trois atomes d'iode) est solide à température ambiante. Il est de plus insoluble dans l'eau, et dégage une odeur proche d'un antiseptique.
Dans un tube à essais où on a positionné la substance à tester, on rajoute du diiode et de l'hydroxyde de sodium. Si le test est positif, c'est-à-dire que la substance testée contient une cétone méthylée ou un alcool secondaire oxydable en cétone méthylée, un précipité jaune pâle d'iodoforme se forme.
Notes et références
- Chakrabartty, in Trahanovsky, Oxidation in Organic Chemistry, pp 343-370, Academic Press, New York, 1978
- (en) László Kürti and Barbara Czakó, Strategic Applications of Named Reactions in Organic Synthesis, Elsevier, Amsterdam, 2005 (ISBN 0-12-429785-4)
- SERULLAS Ann. chim. 20, 165 (1822)
- LIEBEN : Ann. Spl. Bd. 7, 218 (1870)
- Reynold C. Fuson and Benton A. Bull, «The Haloform Reaction», dans Chemical Reviews, vol. 15, no 3, 1934, p. 275–309 [ lien DOI ]
Recherche sur Amazone (livres) : |
Voir la liste des contributeurs.
La version présentée ici à été extraite depuis cette source le 30/11/2010.
Ce texte est disponible sous les termes de la licence de documentation libre GNU (GFDL).
La liste des définitions proposées en tête de page est une sélection parmi les résultats obtenus à l'aide de la commande "define:" de Google.
Cette page fait partie du projet Wikibis.